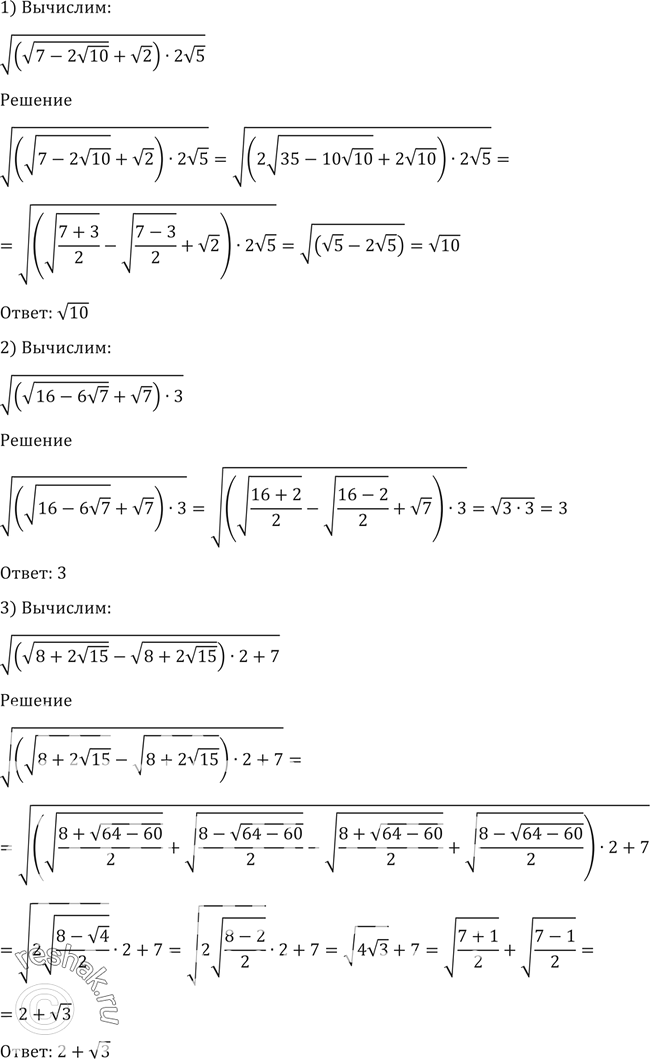
Упражнение 12 ГДЗ Алимов 10-11 класс (Алгебра)
12. Вычислить 1) корень (корень(7-2 корень 10) + корень 5) 2) корень (корень(16-6 корень 7) + корень 7)*3 3) корень


Ниже вариант решения задания из учебника Алимов, Колягин, Ткачёва 10 класс, Просвещение:
12. Вычислить
1) корень (корень(7-2 корень 10) + корень 5)
2) корень (корень(16-6 корень 7) + корень 7)*3
3) корень (корень(8 + 2 корень 15) - корень(8-2 корень 15) *2 + 7)
