Упражнение 1382 ГДЗ Алимов 10-11 класс (Алгебра)
1382 1)5+sin2x=5(sinx+cosx); 2) 2+2cosx=3sincosx+2sinx.




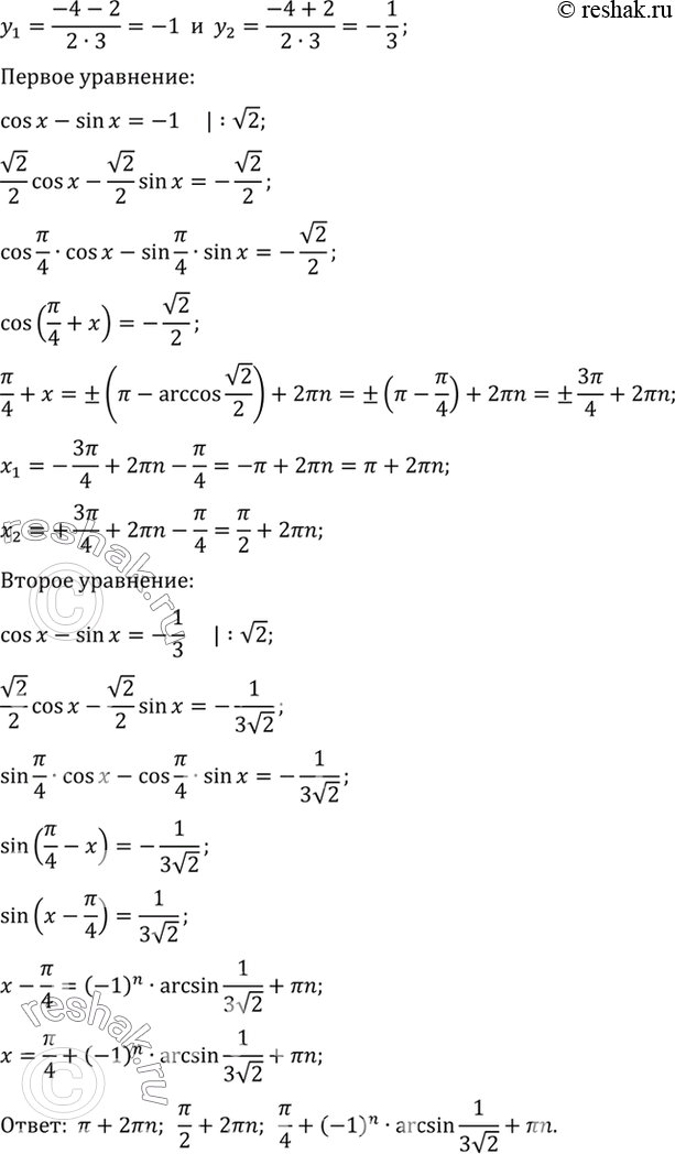
Ниже вариант решения задания из учебника Алимов, Колягин, Ткачёва 11 класс, Просвещение:
1382 1)5+sin2x=5(sinx+cosx);
2) 2+2cosx=3sincosx+2sinx.




Ниже вариант решения задания из учебника Алимов, Колягин, Ткачёва 11 класс, Просвещение:
1382 1)5+sin2x=5(sinx+cosx);
2) 2+2cosx=3sincosx+2sinx.