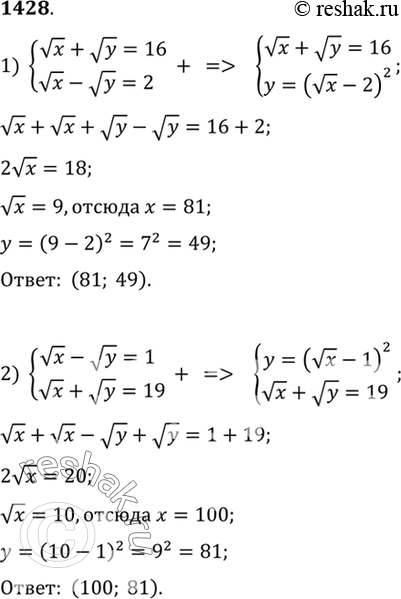
Упражнение 1428 ГДЗ Алимов 10-11 класс (Алгебра)
1428 1) система корень x + корень y =16, корень x- корень y=2; 2) система корень x- корень y=1, корень x+корень y=19.


Ниже вариант решения задания из учебника Алимов, Колягин, Ткачёва 11 класс, Просвещение:
1428 1) система
корень x + корень y =16,
корень x- корень y=2;
2) система
корень x- корень y=1,
корень x+корень y=19.
