Упражнение 165 ГДЗ Алимов 10-11 класс (Алгебра)
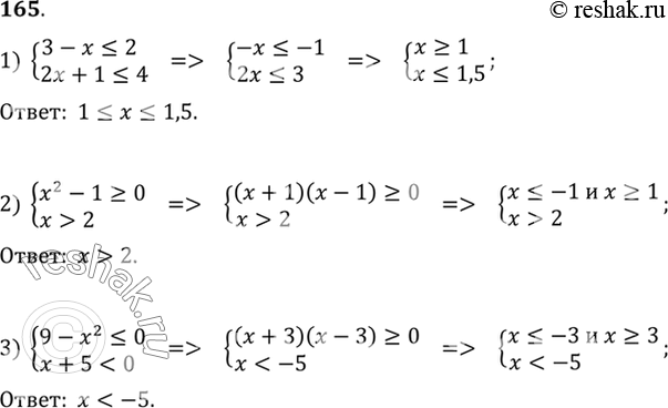
165. Решить систему неравенств: 1) система 3-x 2x+12) система x2-1>=0, x>2; 3) система 9-x2x+5


Ниже вариант решения задания из учебника Алимов, Колягин, Ткачёва 10 класс, Просвещение:
165. Решить систему неравенств:
1) система
3-x
2x+1
2) система
x2-1>=0,
x>2;
3) система
9-x2
x+5
