Упражнение 343 ГДЗ Алимов 10-11 класс (Алгебра)
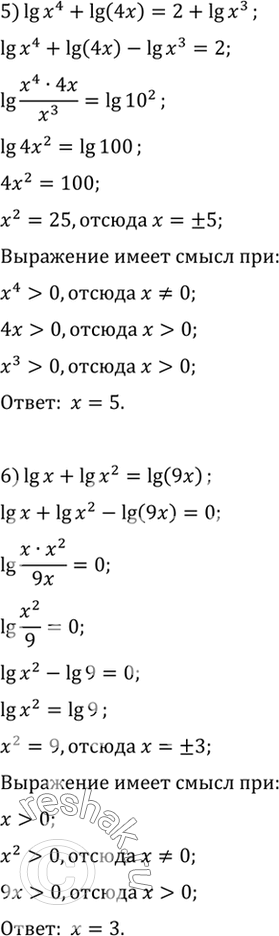
Решить уравнение (343—345) 343. 1) log5(x2) = 0; 2) log4(х2) = 3; 3) log3(x3) = 0; 4) log4(x3) = 6; 5) lg x4 + lg (4x) = 2 + lg x3;




Ниже вариант решения задания из учебника Алимов, Колягин, Ткачёва 10 класс, Просвещение:
Решить уравнение (343—345)
343. 1) log5(x2) = 0;
2) log4(х2) = 3;
3) log3(x3) = 0;
4) log4(x3) = 6;
5) lg x4 + lg (4x) = 2 + lg x3;
6) lg x + lg x2 = lg (9x).
