☰ Меню
4 класс
5 класс
6 класс
7 класс
8 класс
9 класс
10 класс
11 класс
4 класс
Математика
Окружающий мир
Русский язык
Английский
Литературное чтение
5 класс
Биология
Математика
Русский язык
География
История
Информатика
Английский
Обществознание
Литература
6 класс
Биология
Математика
Обществознание
Русский язык
География
История
Информатика
Английский
Литература
7 класс
Алгебра
Биология
Химия
Физика
Обществознание
Русский язык
География
Геометрия
История
Информатика
Английский
Литература
8 класс
Алгебра
Биология
Химия
Физика
Обществознание
Русский язык
География
Геометрия
История
Информатика
Английский
Литература
9 класс
Алгебра
Биология
Химия
Физика
Обществознание
Русский язык
География
Геометрия
История
Информатика
Английский
Литература
10 класс
Алгебра
Биология
Химия
Физика
Обществознание
Русский язык
География
Геометрия
История
Информатика
Английский
Литература
11 класс
Алгебра
Биология
Химия
Физика
Обществознание
Русский язык
География
Геометрия
История
Информатика
Английский
Литература
Упражнение 528 ГДЗ Алимов 10-11 класс (Алгебра)
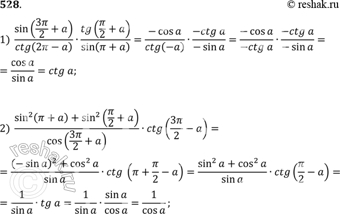
528
Перейти к тексту задания
← Предыдущее задание 527
Решебник Алимов 10-11 класс Алгебра
Следующее задание 529 →
← Предыдущий ответ 527
Решебник Алимов 10-11 класс Алгебра
Следующий ответ 529 →
Навигация по заданиям
…
523
524
525
526
527
528
529
530
531
532
533
…
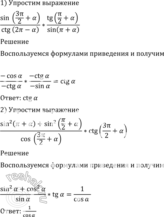
Ниже вариант решения задания из учебника Алимов, Колягин, Ткачёва 10 класс, Просвещение:
528