☰ Меню
4 класс
5 класс
6 класс
7 класс
8 класс
9 класс
10 класс
11 класс
4 класс
Математика
Окружающий мир
Русский язык
Английский
Литературное чтение
5 класс
Биология
Математика
Русский язык
География
История
Информатика
Английский
Обществознание
Литература
6 класс
Биология
Математика
Обществознание
Русский язык
География
История
Информатика
Английский
Литература
7 класс
Алгебра
Биология
Химия
Физика
Обществознание
Русский язык
География
Геометрия
История
Информатика
Английский
Литература
8 класс
Алгебра
Биология
Химия
Физика
Обществознание
Русский язык
География
Геометрия
История
Информатика
Английский
Литература
9 класс
Алгебра
Биология
Химия
Физика
Обществознание
Русский язык
География
Геометрия
История
Информатика
Английский
Литература
10 класс
Алгебра
Биология
Химия
Физика
Обществознание
Русский язык
География
Геометрия
История
Информатика
Английский
Литература
11 класс
Алгебра
Биология
Химия
Физика
Обществознание
Русский язык
География
Геометрия
История
Информатика
Английский
Литература
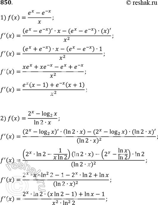
Упражнение 850 ГДЗ Алимов 10-11 класс (Алгебра)
850
Перейти к тексту задания
← Предыдущее задание 849
Решебник Алимов 10-11 класс Алгебра
Следующее задание 851 →
← Предыдущий ответ 849
Решебник Алимов 10-11 класс Алгебра
Следующий ответ 851 →
Навигация по заданиям
…
844
845
846
847
849
850
851
852
853
854
855
…
Ниже вариант решения задания из учебника Алимов, Колягин, Ткачёва 11 класс, Просвещение:
850