Упражнение 931 ГДЗ Алимов 10-11 класс (Алгебра)
931 1) y=3x+1/3x; 2) 4/x -x; 3) y=x-1/корень x.








Ниже вариант решения задания из учебника Алимов, Колягин, Ткачёва 11 класс, Просвещение:
931 1) y=3x+1/3x;
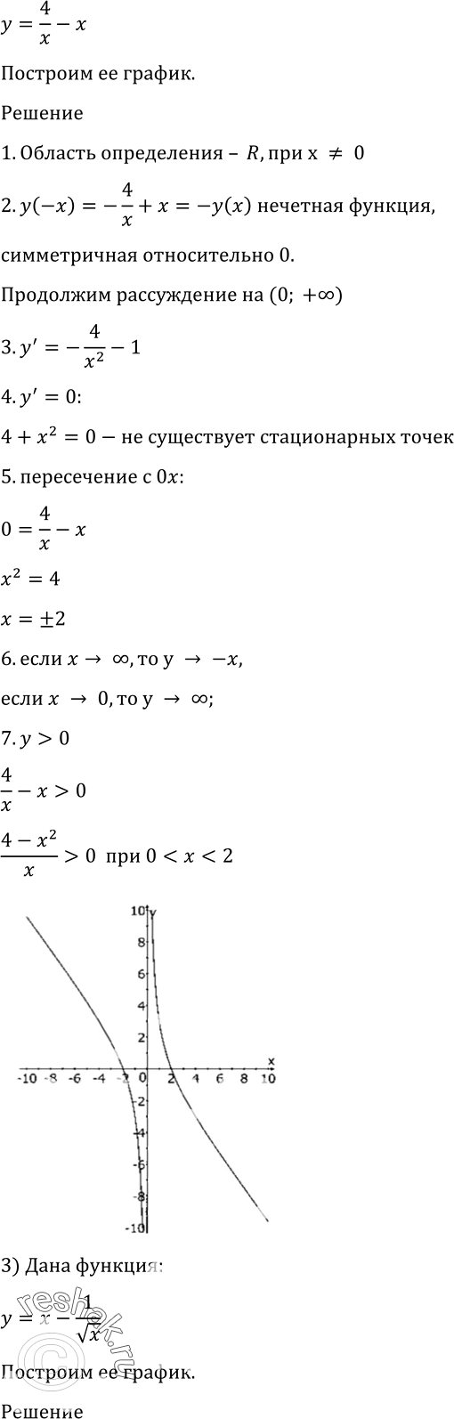
2) 4/x -x;
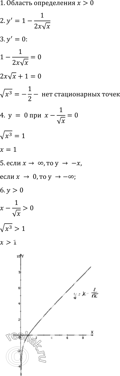
3) y=x-1/корень x.








Ниже вариант решения задания из учебника Алимов, Колягин, Ткачёва 11 класс, Просвещение:
931 1) y=3x+1/3x;
2) 4/x -x;
3) y=x-1/корень x.