Упражнение 216 ГДЗ Алимов 10-11 класс (Алгебра)
216 1) 10x = корень 3 степени 100; 2) 10x = корень 4 степени 10 000; 3) 225^(2x2-24) =15; 4) 10x=1/корень 4 степени 10 000;




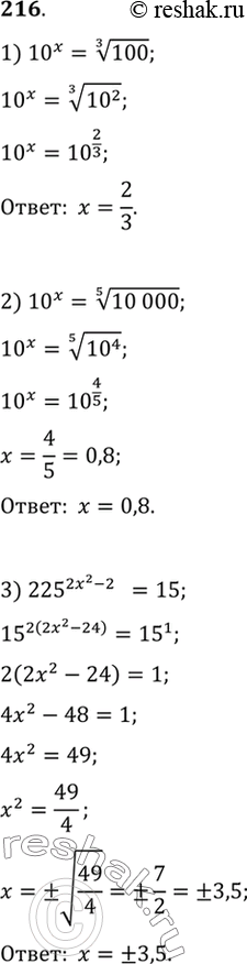
Ниже вариант решения задания из учебника Алимов, Колягин, Ткачёва 10 класс, Просвещение:
216 1) 10x = корень 3 степени 100;
2) 10x = корень 4 степени 10 000;
3) 225^(2x2-24) =15;
4) 10x=1/корень 4 степени 10 000;
5) (корень 10)x = 10 ^(x2-x);
6) 100^(x2-1) = 10^(1-5x).
