Упражнение 245 ГДЗ Алимов 10-11 класс (Алгебра)
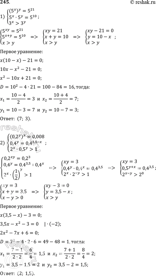
245. 1)система (5x)y =5^21, 5x*5y=5^10, 3x>3y; 2) система (0,2y)x=0,008, 0,4y=0,4^(3,5-x), 2x*0,5y>1.



Ниже вариант решения задания из учебника Алимов, Колягин, Ткачёва 10 класс, Просвещение:
245. 1)система
(5x)y =5^21,
5x*5y=5^10,
3x>3y;
2) система
(0,2y)x=0,008,
0,4y=0,4^(3,5-x),
2x*0,5y>1.
