Упражнение 271 ГДЗ Алимов 10-11 класс (Алгебра)
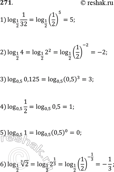
271. 1) log1/2(1/32); 2) log1/2(4); 3) log0,5(0,125); 4) log0,5(1/2); 5) log0,5(1); 6) log1/2( корень 3 степени 2).



Ниже вариант решения задания из учебника Алимов, Колягин, Ткачёва 10 класс, Просвещение:
271. 1) log1/2(1/32);
2) log1/2(4);
3) log0,5(0,125);
4) log0,5(1/2);
5) log0,5(1);
6) log1/2( корень 3 степени 2).