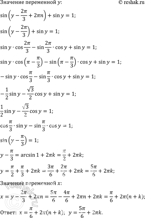
Упражнение 685 ГДЗ Алимов 10-11 класс (Алгебра)
Решить систему уравнений (685—686). 685 1) cистема sinycosy=1/2, sin2x+sin2y=0; 2) система sinx+siny=1, cosx-cosy= корень 3.



Ниже вариант решения задания из учебника Алимов, Колягин, Ткачёва 10 класс, Просвещение:
Решить систему уравнений (685—686).
685 1) cистема
sinycosy=1/2,
sin2x+sin2y=0;
2) система
sinx+siny=1,
cosx-cosy= корень 3.
