Упражнение 767 ГДЗ Алимов 10-11 класс (Алгебра)
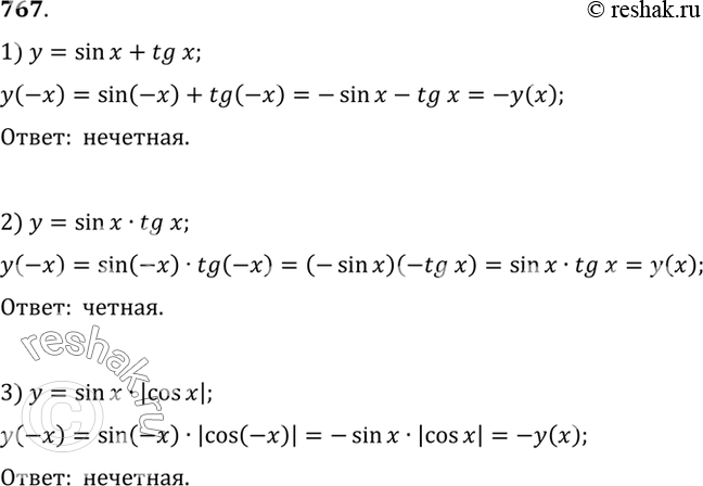
767 Выяснить, является ли функция чётной или нечётной: 1) у = sin х + tg х; 2) у = sin х tg х;


Ниже вариант решения задания из учебника Алимов, Колягин, Ткачёва 11 класс, Просвещение:
767 Выяснить, является ли функция чётной или нечётной:
1) у = sin х + tg х;
2) у = sin х tg х;
3) у = sin х |cos х|.
