Упражнение 843 ГДЗ Алимов 10-11 класс (Алгебра)
Найти производную функции (843—851). 843




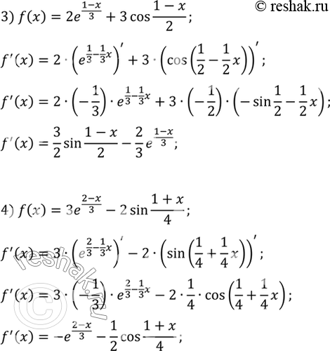
Ниже вариант решения задания из учебника Алимов, Колягин, Ткачёва 11 класс, Просвещение:
Найти производную функции (843—851).
843




Ниже вариант решения задания из учебника Алимов, Колягин, Ткачёва 11 класс, Просвещение:
Найти производную функции (843—851).
843