Упражнение 4.45 ГДЗ Никольский Потапов 11 класс (Алгебра)
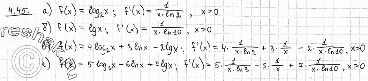
4.45 a) f(x) = log2x; б) f(x) = lgx; B) f(x) = 4 log2(x) + 3 lnx - 2 lgx; г) f(x) — 5 log3(x) - 6 ln x + 7 lg x.


Ниже вариант решения задания из учебника Никольский, Потапов 11 класс, Просвещение:
4.45 a) f(x) = log2x;
б) f(x) = lgx;
B) f(x) = 4 log2(x) + 3 lnx - 2 lgx;
г) f(x) — 5 log3(x) - 6 ln x + 7 lg x.
