Упражнение 6.53 ГДЗ Никольский Потапов 11 класс (Алгебра)
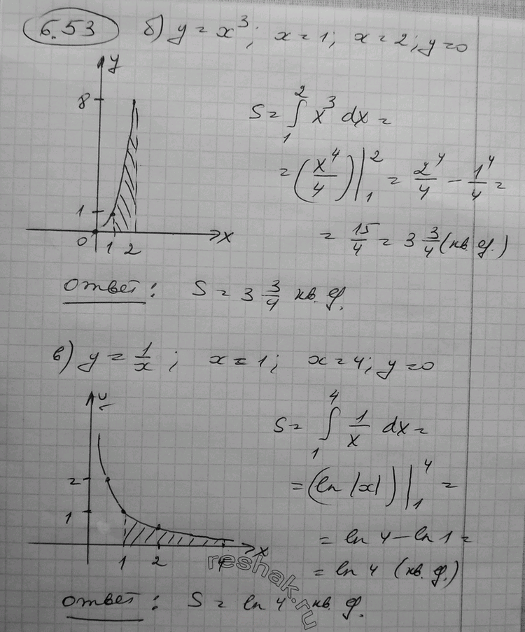
6.53 а) у = х2, х = 3, х = 5, у = 0; б) у = х3, х = 1, х = 2, у = 0;


Ниже вариант решения задания из учебника Никольский, Потапов 11 класс, Просвещение:
6.53 а) у = х2, х = 3, х = 5, у = 0;
б) у = х3, х = 1, х = 2, у = 0;
в) y=1/x, x=1, x=4, y=0.
