Упражнение 8.19 ГДЗ Никольский Потапов 11 класс (Алгебра)
8.19* a) log2cos2x = log2cosx; б) log1/2cos 2x = log1/2(cos x + sin x); в) log1/3cos2x = log1/3(cosx - sinx); г) log0,2 cos2x = log0,2 (sinx - cos x).





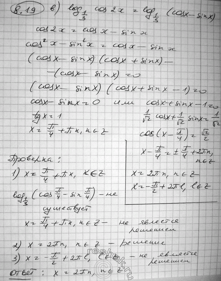
Ниже вариант решения задания из учебника Никольский, Потапов 11 класс, Просвещение:
8.19* a) log2cos2x = log2cosx;
б) log1/2cos 2x = log1/2(cos x + sin x);
в) log1/3cos2x = log1/3(cosx - sinx);
г) log0,2 cos2x = log0,2 (sinx - cos x).
