Упражнение 27.18 ГДЗ Мерзляк 11 класс Углубленный уровень (Алгебра)
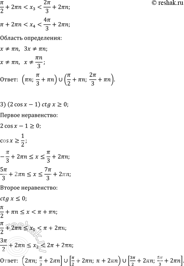
27.18. Решите неравенство: 1) cos(x)-sin(2x)-cos(3x)0. 2) ctg(x)>ctg(3x);



Ниже вариант решения задания из учебника Мерзляк, Номировский, Поляков 11 класс, Вентана-Граф, Просвещение:
27.18. Решите неравенство:
1) cos(x)-sin(2x)-cos(3x)0.
2) ctg(x)>ctg(3x);
