Упражнение 117 ГДЗ Колягин Ткачёва 11 класс (Алгебра)
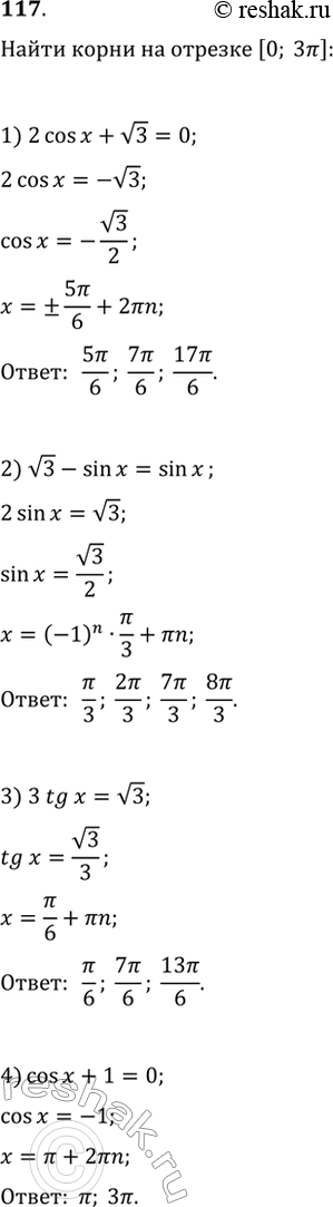
117. Найти принадлежащие промежутку [0; 3пи] корни уравнения: 1) 2cosx + корень 3 =0; 2) корень 3 - sinx = sinx;
![Решение задачи: 117. Найти принадлежащие промежутку [0; 3пи] корни уравнения: 1) 2cosx + корень 3 =0; 2) корень 3 - sinx = sinx;](solutions/algebra/11/56/1-117.png)
![Решение задачи: 117. Найти принадлежащие промежутку [0; 3пи] корни уравнения: 1) 2cosx + корень 3 =0; 2) корень 3 - sinx = sinx;](solutions/algebra/11/56/2-117.png)
![Решение задачи: 117. Найти принадлежащие промежутку [0; 3пи] корни уравнения: 1) 2cosx + корень 3 =0; 2) корень 3 - sinx = sinx;](solutions/algebra/11/56/3-117-.png)
Ниже вариант решения задания из учебника Колягин, Ткачёва, Фёдорова 11 класс, Просвещение:
117. Найти принадлежащие промежутку [0; 3пи] корни уравнения:
1) 2cosx + корень 3 =0;
2) корень 3 - sinx = sinx;
3) 3tgx = корень 3;
4) cosx + 1=0.
