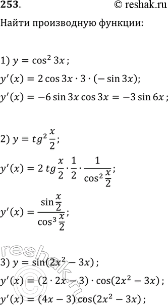
Упражнение 253 ГДЗ Колягин Ткачёва 11 класс (Алгебра)
253. 1) у = cos2 Зх; 2) у = tg2x/2; 3) sin(2x2 - 3х); 4) cos(x + 2x3); 5) etgx; 6) cos(ex);



Ниже вариант решения задания из учебника Колягин, Ткачёва, Фёдорова 11 класс, Просвещение:
253. 1) у = cos2 Зх;
2) у = tg2x/2;
3) sin(2x2 - 3х);
4) cos(x + 2x3);
5) etgx;
6) cos(ex);
7) 3х2;
8) 2cosx.
