Упражнение 303 ГДЗ Колягин Ткачёва 11 класс (Алгебра)
303. Найти вторую производную функции: 1) f(x) = sin2x; 2) f(x) = x3sinx; 3) f(x) = x4 + 3х2 - x + 1;



Ниже вариант решения задания из учебника Колягин, Ткачёва, Фёдорова 11 класс, Просвещение:
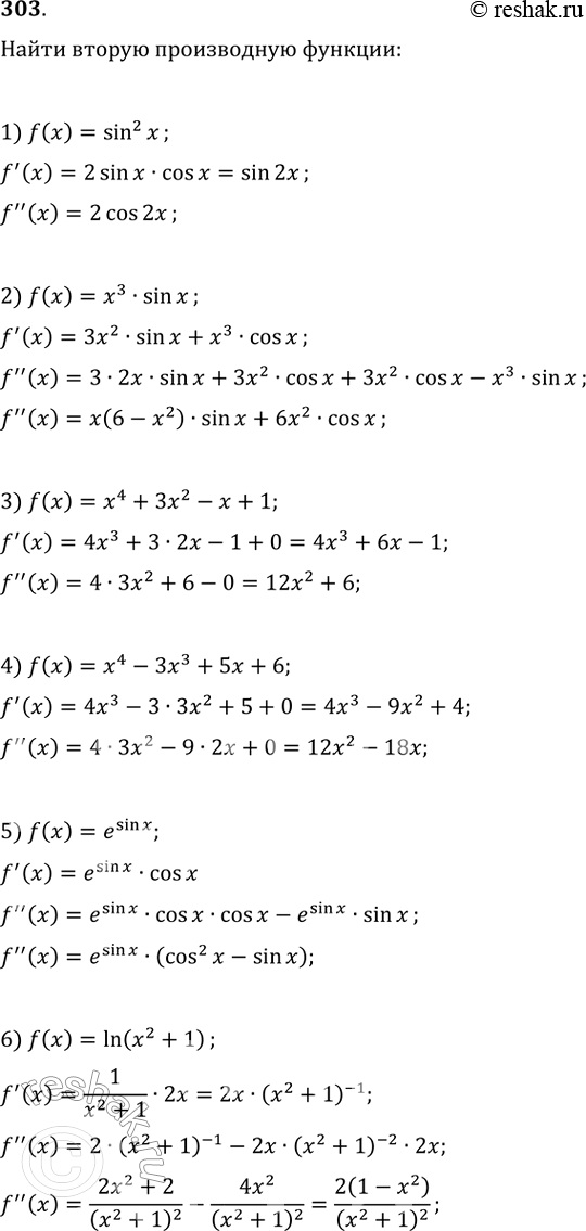
303. Найти вторую производную функции:
1) f(x) = sin2x;
2) f(x) = x3sinx;
3) f(x) = x4 + 3х2 - x + 1;
4) f(x) = x4 - 3x3 + 5x + 6;
5) f(x) = esinx;
6) f(x) = ln(x2 + 1).
