Упражнение 59 ГДЗ Колягин Ткачёва 11 класс (Алгебра)
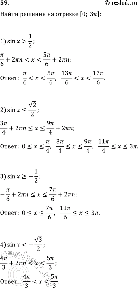
59. Найти все принадлежащие отрезку [0; 3пи] решения неравенства: 1) sinx>1/2; 2) sinx3) sinx>=-1/2; 4)
![Решение задачи: 59. Найти все принадлежащие отрезку [0; 3пи] решения неравенства: 1) sinx>1/2; 2) sinx3) sinx>=-1/2; 4)](solutions/algebra/11/56/1-59.png)
![Решение задачи: 59. Найти все принадлежащие отрезку [0; 3пи] решения неравенства: 1) sinx>1/2; 2) sinx3) sinx>=-1/2; 4)](solutions/algebra/11/56/2-59.png)
Ниже вариант решения задания из учебника Колягин, Ткачёва, Фёдорова 11 класс, Просвещение:
59. Найти все принадлежащие отрезку [0; 3пи] решения неравенства:
1) sinx>1/2;
2) sinx
3) sinx>=-1/2;
4) sinx
