Упражнение 651 ГДЗ Колягин Ткачёва 11 класс (Алгебра)
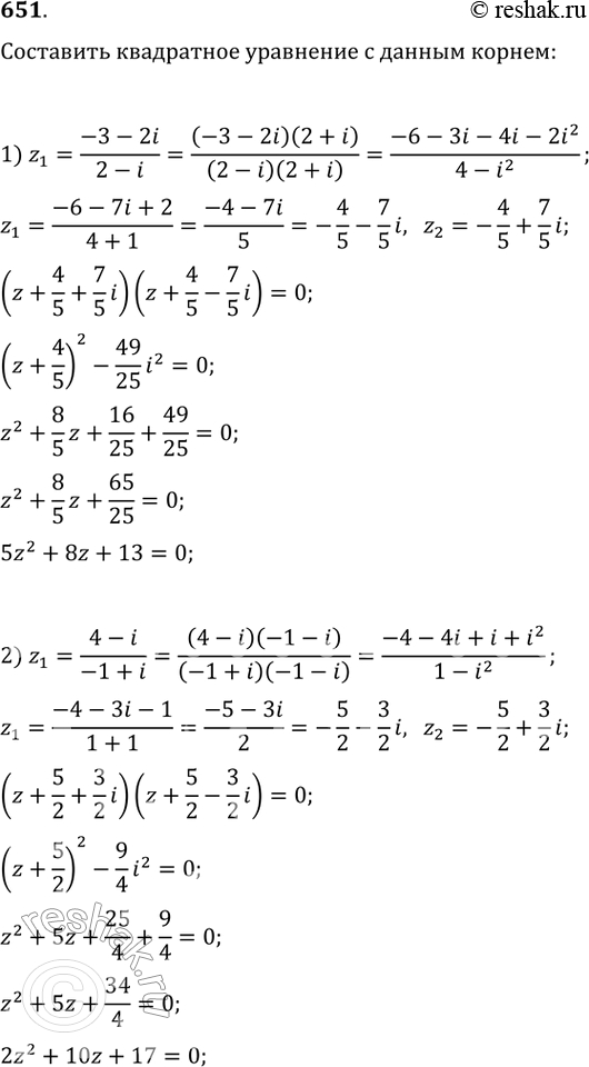
651 Составить квадратное уравнение с действительными коэффициентами, имеющее данный корень: 1) z1=3-2i/2-i; 2) z1=4-i/-1+i.


Ниже вариант решения задания из учебника Колягин, Ткачёва, Фёдорова 11 класс, Просвещение:
651 Составить квадратное уравнение с действительными коэффициентами, имеющее данный корень:
1) z1=3-2i/2-i;
2) z1=4-i/-1+i.
