Упражнение 791 ГДЗ Колягин Ткачёва 11 класс (Алгебра)
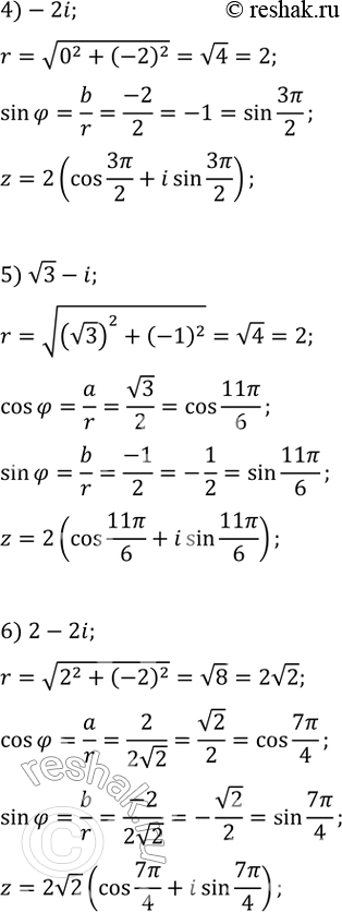
791. Записать в тригонометрической форме число: 1) 2; 2) -3; 3) 3i; 4) -2i; 5) корень 3-i; 6) 2-2i.



Ниже вариант решения задания из учебника Колягин, Ткачёва, Фёдорова 11 класс, Просвещение:
791. Записать в тригонометрической форме число:
1) 2;
2) -3;
3) 3i;
4) -2i;
5) корень 3-i;
6) 2-2i.
