Упражнение 1.15 ГДЗ Дорофеев Суворова 7 класс (Алгебра)
Выполните действия: а) 3,72 + 2/5; б) 1/3 + 0,3; в) 0,6 - 4/9; г) 3/5 - 0,76; д) -2/9 + (-1/4);

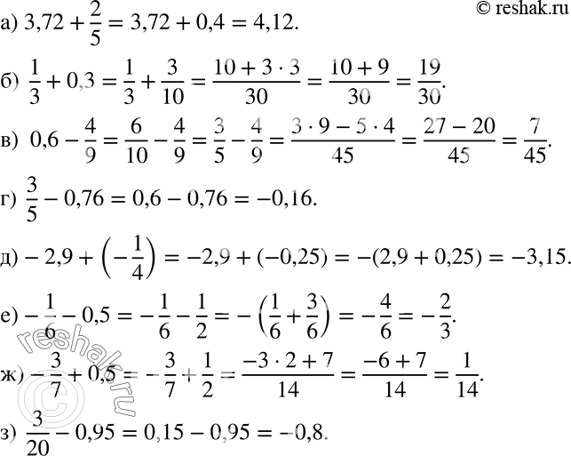
Ниже вариант решения задания из учебника Дорофеев, Суворова, Бунимович 7 класс, Просвещение:
Выполните действия:
а) 3,72 + 2/5;
б) 1/3 + 0,3;
в) 0,6 - 4/9;
г) 3/5 - 0,76;
д) -2/9 + (-1/4);
е) -1/6 - 0,5;
ж) -3/7 + 0,5;
з) 3/20 - 0,95.
