Упражнение 1.65 ГДЗ Дорофеев Суворова 7 класс (Алгебра)
Запишите в виде выражения: а) 20% от суммы в а рублей; б) сумму, 20% которой составляют а рублей. *Цитирирование задания со ссылкой на учебник производится исключительно в учебных целях для лучшего понимания разбора решения задания.

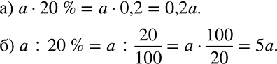
Ниже вариант решения задания из учебника Дорофеев, Суворова, Бунимович 7 класс, Просвещение:
Запишите в виде выражения:
а) 20% от суммы в а рублей;
б) сумму, 20% которой составляют а рублей.
