Упражнение 2.47 ГДЗ Дорофеев Суворова 7 класс (Алгебра)
Найдите неизвестное число х, если: а) 2x/9=2/3; б) 1/5=2/5x; в) 1,5/4x=0,3/10; г) 2/x=x/8. *Цитирирование задания со ссылкой на учебник производится исключительно в учебных целях для лучшего понимания разбора решения задания.

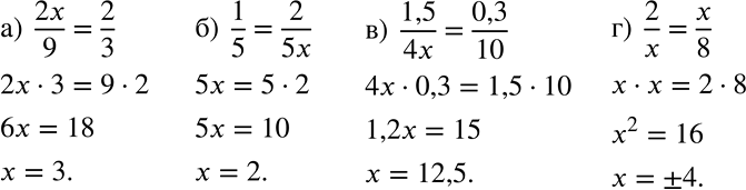
Ниже вариант решения задания из учебника Дорофеев, Суворова, Бунимович 7 класс, Просвещение:
Найдите неизвестное число х, если:
а) 2x/9=2/3;
б) 1/5=2/5x;
в) 1,5/4x=0,3/10;
г) 2/x=x/8.
