Упражнение 3.94 ГДЗ Дорофеев Суворова 7 класс (Алгебра)
Запишите равенство (ху) : (zt) = (х : z) (у : t), заменив знак деления знаком «минус», а знак умножения знаком «плюс».

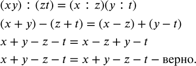
Ниже вариант решения задания из учебника Дорофеев, Суворова, Бунимович 7 класс, Просвещение:
Запишите равенство (ху) : (zt) = (х : z) (у : t), заменив знак деления знаком «минус», а знак умножения знаком «плюс». Верно ли полученное равенство?
