Упражнение 4.16 ГДЗ Дорофеев Суворова 7 класс (Алгебра)
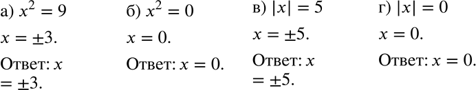
Рассуждаем Решите уравнение: а) х2 = 9; б) х2 = 0; в) |x| = 5; г) |х| = 0. *Цитирирование задания со ссылкой на учебник производится исключительно в учебных целях для лучшего понимания разбора решения задания.

Ниже вариант решения задания из учебника Дорофеев, Суворова, Бунимович 7 класс, Просвещение:
Рассуждаем Решите уравнение:
а) х2 = 9;
б) х2 = 0;
в) |x| = 5;
г) |х| = 0.
