Упражнение 4.23 ГДЗ Дорофеев Суворова 7 класс (Алгебра)
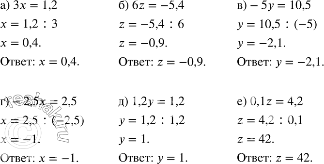
а) Зх= 1,2; б) 6z = -5,4; в) -5у = 10,5; г)-2,5х = 2,5; д) 1,2у = 1,2; е) 0,1z = 4,2.

Ниже вариант решения задания из учебника Дорофеев, Суворова, Бунимович 7 класс, Просвещение:
а) Зх= 1,2;
б) 6z = -5,4;
в) -5у = 10,5;
г)-2,5х = 2,5;
д) 1,2у = 1,2;
е) 0,1z = 4,2.
