Упражнение 8.31 ГДЗ Дорофеев Суворова 7 класс (Алгебра)
Решите систему уравнений: а) {2x - 5y = 0; 6x + y = 0; б) {5x + y = 30; 3x - 4y = 41;

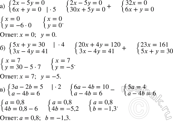
Ниже вариант решения задания из учебника Дорофеев, Суворова, Бунимович 7 класс, Просвещение:
Решите систему уравнений:
а) {2x - 5y = 0; 6x + y = 0;
б) {5x + y = 30; 3x - 4y = 41;
в) {3a - 2b = 5; a - 4b = 6.
