Упражнение 35(стар учебник) ГДЗ Дорофеев Суворова 7 класс (Алгебра)
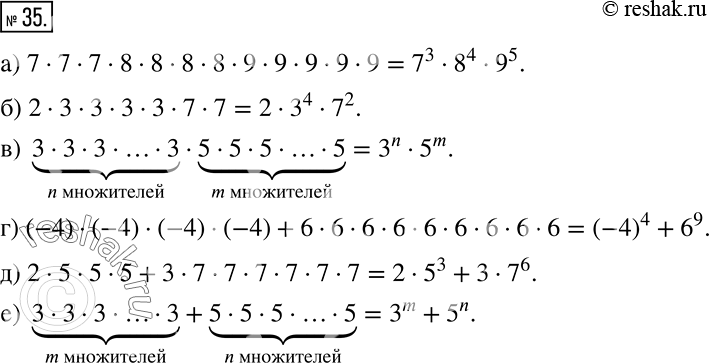
Запишите выражение короче, используя степени: а) 7 * 7 * 7 * 8 * 8 * 8 * 8 * 9 * 9 * 9 * 9 * 9;

Ниже вариант решения задания из учебника Дорофеев, Суворова, Бунимович 7 класс, Просвещение:
Запишите выражение короче, используя степени:
а) 7 * 7 * 7 * 8 * 8 * 8 * 8 * 9 * 9 * 9 * 9 * 9;
б) 2 * 3 * 3 * 3 * 3 * 7 * 7;
в) 3 * 3 * 3 * ... * 3 n множителей * 5 * 5 * 5 * ... * 5 m множителей;
г) (-4) * (-4) * (-4) * (-4) + 6 * 6 * 6 * 6 * 6 * 6 * 6 * 6 * 6;
д) 2 * 5 * 5 * 5 + 3 * 7 * 7 * 7 * 7 * 7 * 7;
е) 3 * 3 * 3 * ... * 3 m множителей + 5 * 5 * 5 * ... * 5 n множителей.
