Упражнение 26 ГДЗ Колягин Ткачёва 7 класс (Алгебра)
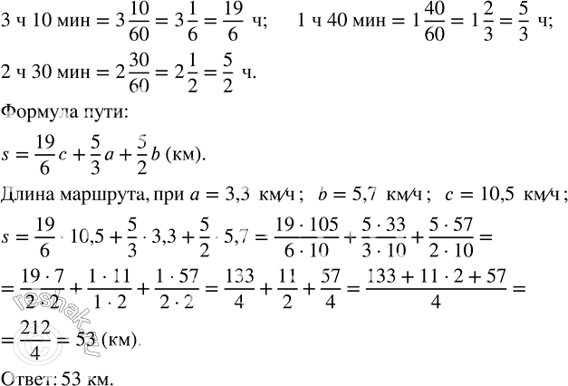
Объяснить, почему на 7 делится сумма: 1) 49 + 63; 2) 1400 + 77. Геологи ехали верхом на лошадях 3 ч 10 мин со скоростью c километров в час, затем плыли на плоту 1 ч 40 мин по реке, скорость течения которой a километров в час, и, наконец, шли пешком 2 ч 30 мин со скоростью b километров в час.


Ниже вариант решения задания из учебника Колягин, Ткачёва, Фёдорова 7 класс, Просвещение:
Объяснить, почему на 7 делится сумма:
1) 49 + 63; 2) 1400 + 77.
Геологи ехали верхом на лошадях 3 ч 10 мин со скоростью c километров в час, затем плыли на плоту 1 ч 40 мин по реке, скорость течения которой a километров в час, и, наконец, шли пешком 2 ч 30 мин со скоростью b километров в час. Написать формулу пути, обозначив длину маршрута (в км) буквой s. Вычислить длину маршрута при a=3,3 кмч, b=5,7 км/ч, c=10,5 км/ч.
