Упражнение 604 ГДЗ Колягин Ткачёва 7 класс (Алгебра)
Даны точки A (5;3); B (-1; -2); C (0;4); D (-2;0); E (-2;3). Построить точки, симметричные им относительно: а) оси Ox;



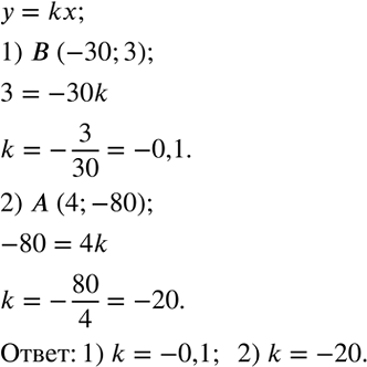
Ниже вариант решения задания из учебника Колягин, Ткачёва, Фёдорова 7 класс, Просвещение:
Даны точки A (5;3); B (-1; -2); C (0;4); D (-2;0); E (-2;3). Построить точки, симметричные им относительно: а) оси Ox; б) оси Oy; в) начала координат. Определить координаты полученных точек.
Найти значение k, если график функции y=kx проходит через точку: 1) B (-30;3); 2) A (4;-80).
