Упражнение 686 ГДЗ Колягин Ткачёва 7 класс (Алгебра)
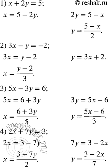
Дано линейное уравнение с двумя неизвестными x и y. Выразить сначала x через y, а затем y через x: 1) x+2y=5;


Ниже вариант решения задания из учебника Колягин, Ткачёва, Фёдорова 7 класс, Просвещение:
Дано линейное уравнение с двумя неизвестными x и y. Выразить сначала x через y, а затем y через x:
1) x+2y=5;
2) 3x-y=-2;
3) 5x-3y=6;
4) 2x+7y=3.
(Устно.) Сколько разных подарочных наборов: 1) из одного предмета; 2) из двух предметов можно составить, выбирая из имеющихся одной вазы и одной ветки сирени?
