Упражнение 801 ГДЗ Колягин Ткачёва 7 класс (Алгебра)
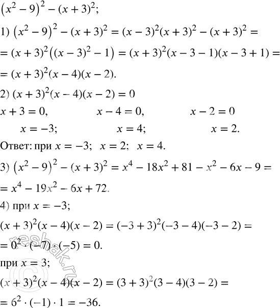
Дано выражение (х^2 - 9)^2 - (х + 3)^2. 1) Разложить данное выражение на множители. 2) При каких значениях х значение выражения равно нулю?

Ниже вариант решения задания из учебника Колягин, Ткачёва, Фёдорова 7 класс, Просвещение:
Дано выражение (х^2 - 9)^2 - (х + 3)^2.
1) Разложить данное выражение на множители.
2) При каких значениях х значение выражения равно нулю?
3) Записать данное выражение в виде многочлена стандартного вида.
4) Найти числовое значение выражения при х = -3, х = 3.
