Упражнение 825 ГДЗ Колягин Ткачёва 7 класс (Алгебра)
Доказать, что разность 16^11 -2^39 делится на 31. *Цитирирование задания со ссылкой на учебник производится исключительно в учебных целях для лучшего понимания разбора решения задания.

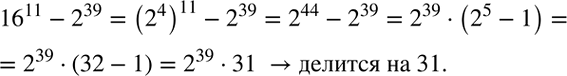
Ниже вариант решения задания из учебника Колягин, Ткачёва, Фёдорова 7 класс, Просвещение:
Доказать, что разность 16^11 -2^39 делится на 31.
