Упражнение 142 ГДЗ Рабочая тетрадь Босова 8 класс 2024 (Информатика)
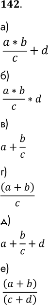
142. Переведите арифметические выражения из линейной записи в общепринятую. а) а * b / с + d б) а * b / с * d в) а + b / с * d г) (а + b)/ с д) а + b / с + d е) (а + b) / (с + d) *Цитирирование задания со ссылкой на учебник производится исключительно в учебных целях для лучшего понимания разбора решения задания.

Ниже вариант решения задания из учебника Босова, Босова 8 класс, Просвещение:
142. Переведите арифметические выражения из линейной записи в общепринятую.
а) а * b / с + d
б) а * b / с * d
в) а + b / с * d
г) (а + b)/ с
д) а + b / с + d
е) (а + b) / (с + d)
