Упражнение 206 ГДЗ Рабочая тетрадь Босова 8 класс 2024 (Информатика)
206. Текст программы приведён на двух языках программирования: Паскаль var а, b, с, х: real; begin writeln(taskВведите три числаtask); readln(а, b, с);
Ниже вариант решения задания из учебника Босова, Босова 8 класс, Просвещение:
206. Текст программы приведён на двух языках программирования:
Паскаль
var а, b, с, х: real; begin
writeln(taskВведите три числаtask);
readln(а, b, с); х : = а;
if b
if с
writeln (х=task , х)
end.
Python
print (taskВведите три числа: task)
a, b, с = map(float, input().split())
х = а
if b
x = b
if с
x = c
print(taskx=task, x)
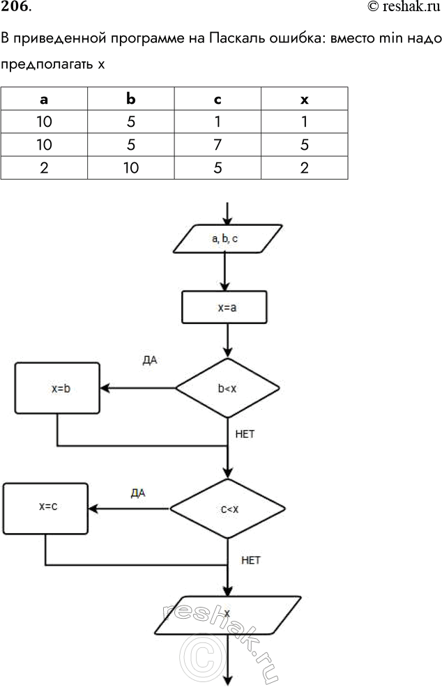
Что будет результатом работы программы при следующих исходных данных?
a
10
10
2
b
5
5
10
c
1
7
5
x
Постройте блок-схему, соответствующую программе.
В приведенной программе на Паскаль ошибка: вместо min надо предполагать х

