Упражнение 223 ГДЗ Рабочая тетрадь Босова 8 класс 2024 (Информатика)
223. Дана программа на двух языках программирования: Паскаль var х, k1, k2: integer; begin k1 := 0; k2 := 0; repeat writeln(taskВведите целое числоtask);
Ниже вариант решения задания из учебника Босова, Босова 8 класс, Просвещение:
223. Дана программа на двух языках программирования:
Паскаль
var х, k1, k2: integer;
begin
k1 := 0;
k2 := 0;
repeat
writeln(taskВведите целое числоtask);
readln (x);
if x
if x > 0 then k2 := k2 + 1;
until x = 0;
writeln(taskk1 = task, k1, tasktask, taskk2 = task, k2)
end.
Python
k1 = 0
k2 = 0
while True:
x = int(input(taskВведите целое число task))
if x
if x > 0: k2 += 1
if x == 0: break
print (taskk1 = task, k1, ", task k2 = task, k2)
Чем являются результаты работы программы?
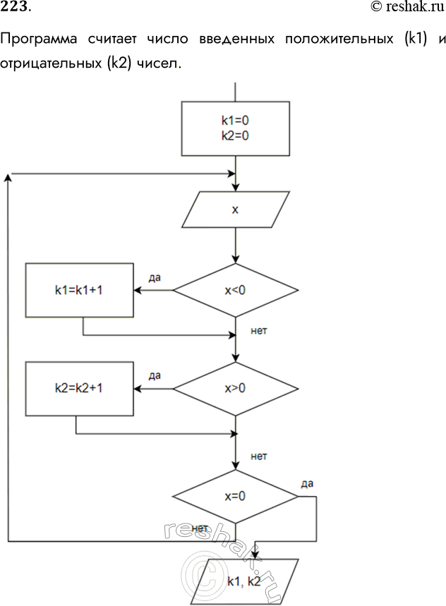
Составьте блок-схему, соответствующую программе.
Программа считает число введенных положительных (k1) и отрицательных (k2) чисел.

