Упражнение 17.18 ГДЗ Мордкович Семенов 9 класс (Алгебра)
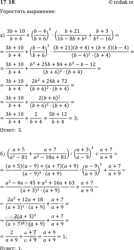
17.18. Упростите выражение: а) (3b+10)/(b+4)+((b-4)/(b+6))^2·((b+21)/(16-8b+b^2)+(b+3)/(b^2-16)); б) ((a+5)/(a^2-81)+(a+7)/(a^2-18a+81)):((a+3)/(a-9))^2+(a+7)/(a+9). *Цитирирование задания со ссылкой на учебник производится исключительно в учебных целях для лучшего понимания разбора решения задания.

Ниже вариант решения задания из учебника Мордкович, Семенов, Александрова 9 класс, Бином:
17.18. Упростите выражение:
а) (3b+10)/(b+4)+((b-4)/(b+6))^2·((b+21)/(16-8b+b^2)+(b+3)/(b^2-16));
б) ((a+5)/(a^2-81)+(a+7)/(a^2-18a+81)):((a+3)/(a-9))^2+(a+7)/(a+9).
