Упражнение 20.21 ГДЗ Мордкович Семенов 9 класс (Алгебра)
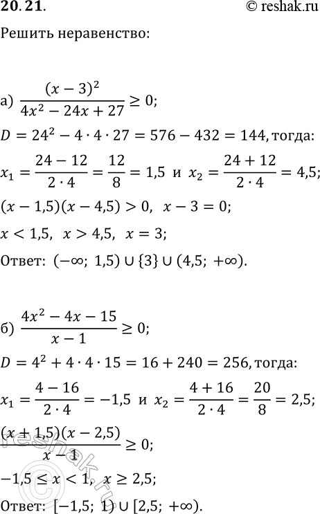
20.21. Решите неравенство: а) (x-3)^2/(4x^2-24x+27)?0; б) (4x^2-4x-15)/(x-1)?0. *Цитирирование задания со ссылкой на учебник производится исключительно в учебных целях для лучшего понимания разбора решения задания.

Ниже вариант решения задания из учебника Мордкович, Семенов, Александрова 9 класс, Бином:
20.21. Решите неравенство:
а) (x-3)^2/(4x^2-24x+27)?0;
б) (4x^2-4x-15)/(x-1)?0.
