Упражнение 22.9 ГДЗ Мордкович Семенов 9 класс (Алгебра)
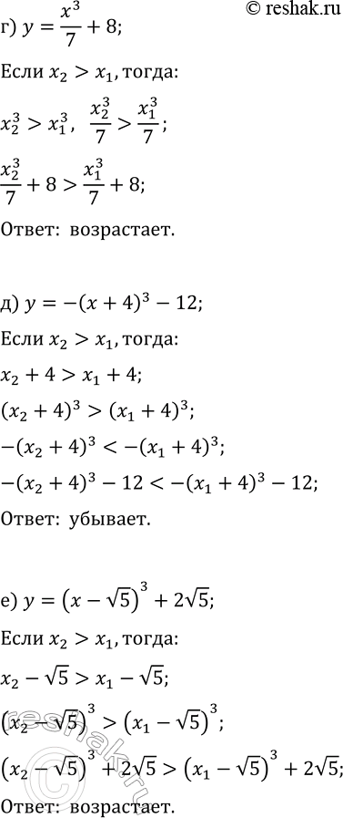
22.9. Исследуйте функцию на монотонность: а) y=-x^3-11; г) y=x^3/7+8; б) y=(x-14)^3+2; д) y=-(x+4)^3-12; в) y=-(x+v3)^3-3v3; е) y=(x-v5)^3+2v5. *Цитирирование задания со ссылкой на учебник производится исключительно в учебных целях для лучшего понимания разбора решения задания.


Ниже вариант решения задания из учебника Мордкович, Семенов, Александрова 9 класс, Бином:
22.9. Исследуйте функцию на монотонность:
а) y=-x^3-11; г) y=x^3/7+8;
б) y=(x-14)^3+2; д) y=-(x+4)^3-12;
в) y=-(x+v3)^3-3v3; е) y=(x-v5)^3+2v5.
