Дополнительная задача 2 Глава 2 ГДЗ Мордкович Семенов 9 класс (Алгебра)
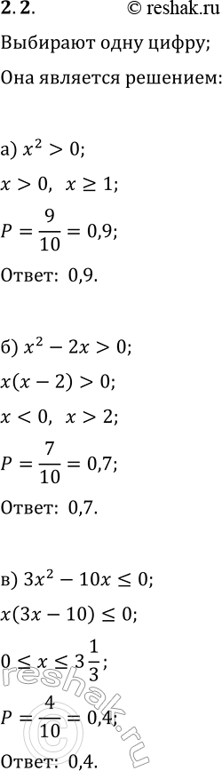
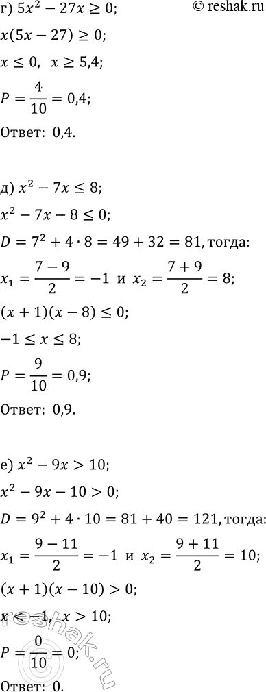
2. а) x^2 > 0; г) 5x^2-27x > =0; б) x^2-2x > 0; д) x^2-7x в) 3x^2-10x 10. *Цитирирование задания со ссылкой на учебник производится исключительно в учебных целях для лучшего понимания разбора решения задания.


Ниже вариант решения задания из учебника Мордкович, Семенов, Александрова 9 класс, Бином:
2. а) x^2 > 0; г) 5x^2-27x > =0;
б) x^2-2x > 0; д) x^2-7x
в) 3x^2-10x 10.
