Упражнение 16.14 ГДЗ Мордкович Семенов 9 класс (Алгебра)
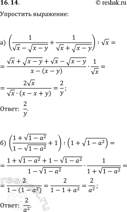
16.14. Упростите выражение: а) (1/(vx-v(x-y))+1/(vx+v(x-y)):vx; б) ((1+v(1-a^2))/(1-v(1-a^2))+1):(1+v(1-a^2)). *Цитирирование задания со ссылкой на учебник производится исключительно в учебных целях для лучшего понимания разбора решения задания.

Ниже вариант решения задания из учебника Мордкович, Семенов, Александрова 9 класс, Бином:
16.14. Упростите выражение:
а) (1/(vx-v(x-y))+1/(vx+v(x-y)):vx;
б) ((1+v(1-a^2))/(1-v(1-a^2))+1):(1+v(1-a^2)).
