Дополнительная задача 3 Глава 2 ГДЗ Мордкович Семенов 9 класс (Алгебра)
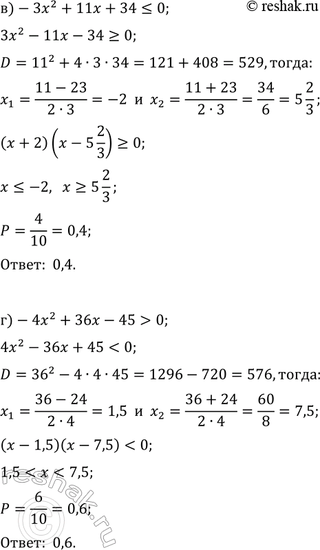
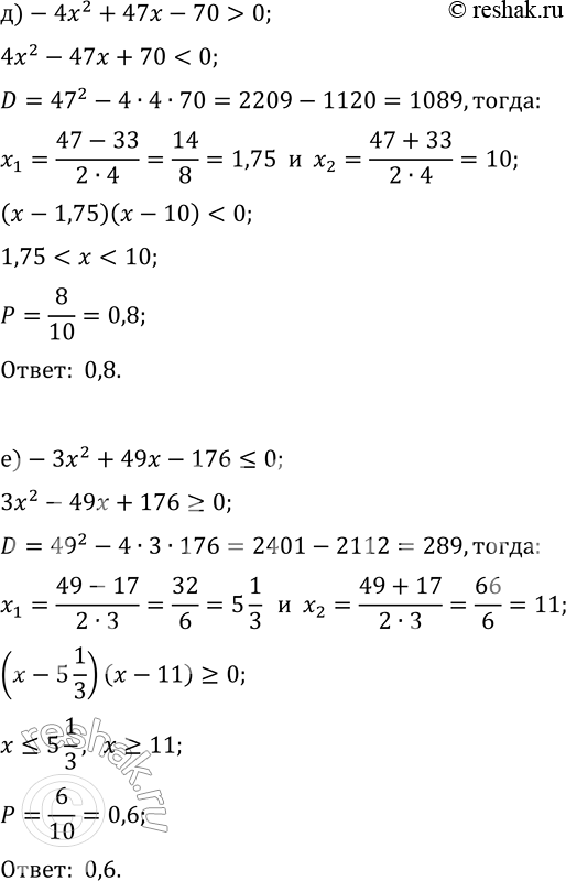
3. а) 2x^2-13x+11 0; б) -2x^2+15x-13 > =0; д) -4x^2+47x-70 > 0; в) -3x^2+11x+34 Обозначим m(x) наименьшее из чисел f(x) и g(x), а М(х) — наибольшее из них.



Ниже вариант решения задания из учебника Мордкович, Семенов, Александрова 9 класс, Бином:
3. а) 2x^2-13x+11 0;
б) -2x^2+15x-13 > =0; д) -4x^2+47x-70 > 0;
в) -3x^2+11x+34
Обозначим m(x) наименьшее из чисел f(x) и g(x), а М(х) — наибольшее из них.
