Дополнительная задача 10 Глава 4 ГДЗ Мордкович Семенов 9 класс (Алгебра)
10. Цена поездки на электричке внутри города постоянна, а проезд в каждую пригородную зону увеличивает цену билета на одно и то же число рублей.


Ниже вариант решения задания из учебника Мордкович, Семенов, Александрова 9 класс, Бином:
10. Цена поездки на электричке внутри города постоянна, а проезд в каждую пригородную зону увеличивает цену билета на одно и то же число рублей. Рекламному агенту из города пришлось в понедельник ехать в 1-ю зону, во вторник — во 2-ю зону, в среду — в 3-ю и т. д. Каждый день он возвращался домой тоже на электричке. В понедельник и вторник он потратил на билеты 52 р., в среду и четверг — 84 р., а все его билеты стоили 322 р. Найдите:
а) цену проезда по городу в одну сторону;
б) цену проезда из города в 1-ю зону туда и обратно;
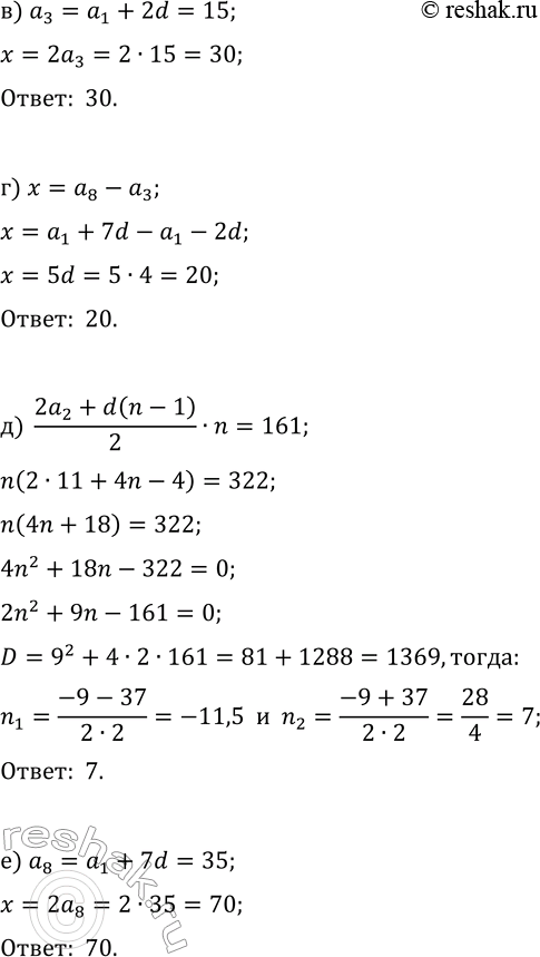
в) сколько рублей стоил во вторник проезд туда и обратно;
г) цену проезда из 2-й зоны в 7-ю в одну сторону;
д) сколько дней подряд ездил агент;
е) сколько рублей стоил проезд туда и обратно в последний день.
