Упражнение 36.1 ГДЗ Мордкович Семенов 9 класс (Алгебра)
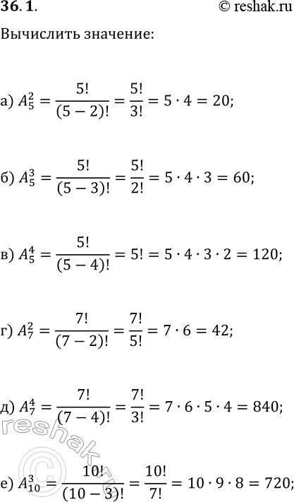
36.1. Вычислите число размещений: а) A(2; 5); в) A(4; 5); д) A(4; 7); б) A(3; 5); г) A(2; 7); е) A(3;

Ниже вариант решения задания из учебника Мордкович, Семенов, Александрова 9 класс, Бином:
36.1. Вычислите число размещений:
а) A(2; 5); в) A(4; 5); д) A(4; 7);
б) A(3; 5); г) A(2; 7); е) A(3; 10).
