Дополнительная задача 11 Глава 4 ГДЗ Мордкович Семенов 9 класс (Алгебра)
11. На несколько опытных земельных участков внесли два удобрения. Первое из них вносили по такой схеме: 0,5 кг на первый участок, а на каждый следующий участок — на 0,5 кг больше, чем на предыдущий.


Ниже вариант решения задания из учебника Мордкович, Семенов, Александрова 9 класс, Бином:
11. На несколько опытных земельных участков внесли два удобрения. Первое из них вносили по такой схеме: 0,5 кг на первый участок, а на каждый следующий участок — на 0,5 кг больше, чем на предыдущий. Второе удобрение вносили по 3 кг на каждый участок. Всего внесли 42 кг удобрений. Найдите:
а) массу удобрений, внесённых на первый участок;
б) массу удобрений, внесённых на третий участок;
в) массу удобрений, внесённых на четыре первых участка;
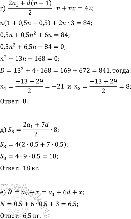
г) на сколько участков внесли удобрения;
д) общую массу первого удобрения, внесённого на участки;
е) массу удобрений, внесённых на предпоследний участок.
