Дополнительная задача 3 Глава 4 ГДЗ Мордкович Семенов 9 класс (Алгебра)
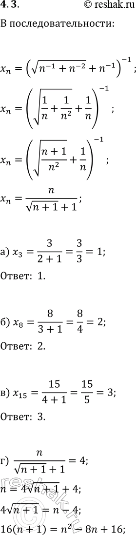
3. Для последовательности x_n=(v(n^(-1)+n^(-2))+n^(-1))^(-1) найдите: а) x_3; б) x_8; в) x_15; г) n, если x_n=4; д) n, если x_n=9; е) номер члена последовательности, который удалён от числа 1,8 на наименьшее расстояние.


Ниже вариант решения задания из учебника Мордкович, Семенов, Александрова 9 класс, Бином:
3. Для последовательности x_n=(v(n^(-1)+n^(-2))+n^(-1))^(-1) найдите:
а) x_3; б) x_8; в) x_15; г) n, если x_n=4; д) n, если x_n=9;
е) номер члена последовательности, который удалён от числа 1,8 на наименьшее расстояние.
